Тромбоксаны
Лекция № 6
Тромбоксаны и лейкотриены
Тромбоксаны
В основе структуры тромбоксанов лежит пирановое кольцо.


Тромбоксаны.В отличие от простагландинов, тромбоксаны синтезируются только в тромбоцитах, откуда и происходит их название, и стимулируют их агрегацию при образовании тромба.
Тромбоксаны имеют шестичленное кольцо, включающее атом кислорода. Так же, как и другие эйкозаноиды, тромбоксаны могут содержать различное число двойных связей в боковых цепях, образуя ТХ А2, или ТХ A3, отличающиеся по активности.
ТХ В2 - продукт катаболизма ТХ А2 и активностью не обладает. Индекс также, как в случае простагландинов, бозначает число двой ных связей.
Лейкотриены
В 1938 году Киллвэй и Фелдберг, при исследовании воздействия яда кобры на лёгкие морских свинок, случайно обнаружили в лёгочном перфузате неизвестное ранее вещество, обладающее бронхоконстрикторным действием. Бронхоспазм, развивавшийся под воздействием этого неизвестного вещества, отличался от вызванной гистамином бронхоспастической реакции медленным развитием и большей продолжительностью. В связи с этим учёные назвали это вещество медленнореагирующей субстанцией анафилаксии (сокращенно МРСА, англ. slow reacting substance).
В 1960 году Броклхёрст выделил МРС-А из лёгочной ткани больного бронхиальной астмой после проведения ингаляционной провокации с аллергеном. Этим исследованием он подтвердил, что МРСА обладает выраженным бронхоконстрикторным действием и является важным медиатором в развитии аллергического воспаления у больных БА.
В конце 1970-х годов была расшифрована структура молекулы МРСА. В исследованиях Бенгта Самуэльсона и его сотрудников было показано, что МРСА представляет собой неоднородную химическую структуру, относящуюся к семейству липидных медиаторов. Впервые эти медиаторы были выделены из лейкоцитов и характеризовались наличием конъюгированной триеновой структуры. В связи с этим выделенные вещества были названы «лейкотриенами» (ЛТ).
Лейкотриены являются медиаторами аллергических и воспалительных процессов.Лейкоциты являются одним из главных источников лейкотриенов.
Один из основных эффектов лейкотриенов — бронхоспазм — лежит в основе патогенеза бронхиальной астмы.
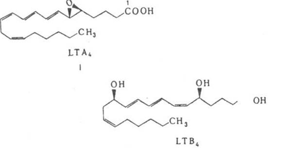
В настоящее время идентифицированы лейкотриены шести типов ЛТА4, ЛТВ4, ЛТС4, ЛТD4, ЛТE4, ЛТF4.
2. С химической точки зрения лейкотриены -роизводные полиеновых кислот, содержащие в молекуле три сопряженные двойные связи, а также (наряду с другими заместителями) гидроксигруппу в положении 5 или эпоксигруппу в положении 5,6. Лейкотриены С4, D4 и Е4 имеют заместители в виде трипептида глутатиона, дипептида глицилцистеина или цистеина, соответственно.

Внутри каждого типа различают три серии лейкотриенов, отличающиеся числом двойных связей (обозначают цифрами 3,4, 5 или 6 в ниж. индексе - в зависимости от числа двойных связей).
Дата добавления: 2015-08-11; просмотров: 1331;
