Классификация по объектам страхования

Страхование по объектам  
Имущественное
Личное
Страхование ответственности
Социальное страхование
Вид страхования, в котором объектом являются основные и оборотные фонды организаций, домашнее имущество граждан.
Вид страхования, в котором объектом являются обязанность страхователей по выполнению договорных условий или обязанность страхователей по возмещению ущерба.  
Вид страхования, в котором объектом являются интересы граждан, их жизнь, здоровье и трудоспособность.
Вид страхования, в котором объектом является материальное обеспечение нетрудоспособных граждан.

 


Лицо, заключившее договор страхования по тому или иному виду, уплачивает страховой взнос.

Страховой взнос
-это
плата за страхование, которую страхователь обязан внести страховщику по договору страхования или по закону.  

 


Размер страхового взноса исчисляется в соответствии со страховым тарифом.

Страховой тариф
-это
цена страховой услуги, которая исчисляется на основании актуарных расчетов.  

 

 


В результате деятельности страхователя (полисодержателя) может наступить страховое событие.

Страховое событие
-это
потенциальный страховой случай на предмет которого производится страхование.  

 


Выплаты по страховому событию осуществляются при наступлении страхового случая.

Страховой случай
- это
наступившее событие, влекущее за собой нанесение материального или морального ущерба юридическим и/или физическим лицам, которое обязывает страховщика выплатить возмещение.  

 


 

Страховой ранок и его функционирование связано с рисковой деятельностью субъектов. В результате страховая организация несет страховой риск.

вероятность наступления страхового случая.
4.6.3. Методы расчета тарифных ставок в рисковых видах страхования

Страховой риск
- это

 


Страховая статистика на уровне страховых компаний осуществляет тарифные расчеты и разработку тарифных ставок. Размер тарифной ставки зависит от вероятности наступления страхового случая.

Тарифная ставка
- это
цена услуги, оказываемой страховщиком населению, т.е. своеобразная цена страховой защиты. Для страховщика это ставка возмещения ущерба, причиненного страховым случаем. Она состоит из нетто-ставки и страховой надбавки.

 


На базе системы математических и статистических закономерностей, вероятностных оценок наступления страхового случая разрабатывается методология расчетов тарифов по всем видам страхования, вычисления страховых резервов и т.д.

Страховой резерв
- это
страховой фонд, который предназначен для обеспечения страховой защиты страхователей по видам страхования (имущественное, личное и социальное страхование).

 


Полная тарифная ставка состоит из нетто-ставки (основной части тарифа, предназначенной для создания фонда на выплату страхового возмещения) и нагрузку к ней (надбавки).

Состав тарифной ставки (брутто ставки): u=  
Нетто-ставка: u = +t  
Выражает рисковую часть тарифа для обеспечения страхового возмещения. Предназначена для формирования страхового фонда (совокупности страховых платежей). Вычисляется с определенной степенью вероятности.  
Рисковая надбавка к страховому тарифу вводится для учета вероятного превышения ущерба относительно ожидаемого значения.  
Надбавка к страховому тарифу f  

 


Обозначения:

- средний уровень убыточности за период;

- среднее квадратическое отклонение индивидуальных уровней убыточности от среднего уровня;

t – коэффициент доверительной вероятности, определяемой по таблице на основании заданной вероятности;

, Где q – убыточность страховой суммы  
f – доля нагрузки по страхованию имущества в брутто-ставке, которая служит для покрытия накладных расходов страхования и образования резервных фондов.

Среднее квадратическое отклонение индивидуальных уровней убыточности от среднего уровня
- это
Брутто-ставка (страховой тариф)  
Нетто-ставка
Основная часть  
Рисковая надбавка  
Прибыль
Расходы на предупредительные мероприятия  
Расходы на ведение дела  
Нагрузка  

 


Соотношение нетто-ставки и надбавки регулируется индивидуально каждым страховщиком (на практике нагрузка не превышает обычно 30% от брутто-ставки).

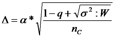
, где - дисперсия страховых выплат при наступлении страхового случая: = ; - коэффициент доверия, зависящий от вероятности безопасности.  
Дельта-надбавка

 

 

Дельта-надбавка

 

 


В процессе формирования страховой защиты страховая организация формирует резервы.








Дата добавления: 2015-08-11; просмотров: 927;


Поиск по сайту:

При помощи поиска вы сможете найти нужную вам информацию.

Поделитесь с друзьями:

Если вам перенёс пользу информационный материал, или помог в учебе – поделитесь этим сайтом с друзьями и знакомыми.
helpiks.org - Хелпикс.Орг - 2014-2026 год. Материал сайта представляется для ознакомительного и учебного использования. | Поддержка
Генерация страницы за: 0.013 сек.