А) Согласование тяговых и противодействующих характеристик.
Рассмотрим работу максимального реле постоянного тока с простейшей магнитной системой клапанного типа.
На рис. 4.4 изображены тяговая и противодействующая характеристики реле. Противодействующие усилия создаются возвратной Р1 и контактными Р2 пружинами.
Для срабатывания реле необходимо, чтобы тяговая характеристика РЭ1 во всех точках хода якоря шла выше суммарной противодействующей характеристики.
РП = Р1 + Р2 .

Рис. 4.4. Согласование характеристик электромагнитного реле
Наименьшее значение тока, при котором кривая РЭ1 проходит выше зависимости Рп, называетсятоком трогания IТР реле. Коэффициент запаса при этом кз = IРАБ / IСР и обычно составляет k3 = 1,4.
Для того чтобы устранить залипание якоря, в магнитной системе всегда создается конечный зазор
к. При этом зазоре тяговое усилие значительно превышает противодействующее (Ра—Р
= Ризб). Срабатывание реле определяется точкой в
(зазор
=
н), при котором РЭ1 идёт выше РП.
Для отключения реле тяговая характеристика РЭ2чкой во всех точках должна быть ниже характеристики РП. При этом усилие, развиваемое противодействующими пружинами, больше электромагнитного усилия и якорь возвратится в начальное положение.
Для реле защиты энергосистем и электропривода коэффициент возврата
кв = IОТП /IСР
1.
Для конечного зазора
=
к Ра= к1 I
,
где Ра – электромагнитное усилие при
=
к и токе срабатывания IСР ; к1 – конструктивный фактор.
Для отпускания реле необходимо так уменьшить ток, чтобы развиваемое усилие
Стало равно
Р
= к1 I
,
откуда
кв = IОТП /IСР =
.

Рис. 4.5. Условия получения высокого коэффициента возврата
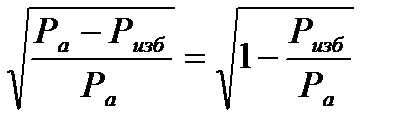
Из рис. 4.5 Ра—Р
= Ра – Ризб.
Тогда
Кв =
.
Поскольку Ризб
0 Кв
1.
Для увеличения Кв необходимо максимально сблизить тяговую и противодействующую характеристики с целью уменьшения Ризб.
Дата добавления: 2015-08-11; просмотров: 1495;
