Полисахариды. Полисахариды – полимеры, построенные из моносахаридных остатков, связанных гликозидными связями
Полисахариды – полимеры, построенные из моносахаридных остатков, связанных гликозидными связями. Полисахариды могут иметь линейное или разветвленное строение. Полисахариды, состоящие их одинаковых моносахаридных остатков, называют гомополисахаридами, из остатков разных моносахаридов – гетерополисахаридами.
К гомополисахаридам относят:
Крахмал – полисахарид растительного происхождения. Крахмал представляет собой смесь двух полисахаридов – амилозы (10-20%) и амилопектина (80-90%) Крахмал набухает и растворяется в воде, образуя вязкие растворы (гели). Химические свойства крахмала аналогичны свойствам моно- и дисахаридов. Крахмал гидролизуется под действием кислот (но не щелочей) и фермента амилазы. Конечным продуктом гидролиза крахмала является D-глюкоза.
(C6H10O5)n ---> (C6H10O5)m ---> C12H22O11 ---> C6H12O6
крахмал декстрины мальтоза D-глюкоза n>m
За счет спиралеобразной конформации амилоза способна образовывать соединения включения с молекулярным иодом. Комплексы крахмала с иодом имеют интенсивную синюю окраску. Реакция используется как качественная на иод и крахмал.
Амилоза – линейный гомополисахарид, состоящий из остатков D-глюкопиранозы, связанных ά-1,4-гликозидными связями. Структурным элементом амилозы является дисахарид мальтоза.

Амилопектин – разветвленный гомополисахарид, построенный из остатков D-глюкопиранозы, которые связаны в основной цепи ά-1,4-гликозидными, а в местах разветвлений - ά-1,6-гликозидными связями. Разветвления расположены через каждые 20-25 моносахаридных остатков.

Гликоген. В животных организмах этот полисахарид является структурным и функциональным аналогом растительного крахмала. По строению подобен амилопектину, но имеет еще большее разветвление цепей. Обычно между точками разветвления содержатся 10-12 глюкозных звеньев, иногда даже 6, условно можно сказать, что разветвленность макромолекулы гликогена вдвое больше, чем амилопектина. Сильное разветвление способствует выполнению гликогеном энергетической функции так как только при наличии большого числа концевых остатков можно обеспечить быстрое отщепление нужного количества глюкозы. Молекулярная масса гликогена необычайно велика, измерения у гликогена, выделенного с предосторожностями во избежание расщепления макромолекулы, показали, что она равна 100 млн. Такой размер макромолекул содействует выполнению функции резервного углевода. Так, макромолекула гликогена из-за большою размера не проходит через мембрану и остается внутри клетки, пока не возникнет потребность в энергии. Гидролиз гликогена в кислой среде протекает очень легко с количественным выходом глюкозы. Это используется в анализе тканей на содержание гликогена: горячей щелочью из тканей извлекают гликоген, осаждают его спиртом, гидролизуют в кислой среде и определяют количество образовавшейся глюкозы. Аналогично гликогену в животных организмах, в растениях такую же роль резервного полисахарида выполняет амилопектин имеющий менее разветвленное строение, это связано с тем, что в растениях значительно медленнее протекают метаболические процессы и не требуется быстрый приток энергии, как это иногда бывает необходимо животному организму (стрессовые ситуации, физическое или умственное напряжение).
Целлюлоза– самый распространенный растительный полисахарид. Выполняет функцию опорного материала растений. Структурным элементом целлюлозы является целлобиоза.

Древесина содержит 50—70% целлюлозы; хлопок представляет собой почти чистую целлюлозу. Целлюлоза является важным сырьем для ряда отраслей промышленности (целлюлозно-бумажной, текстильной и т. п.). Целлюлоза построена и остатков D—глюкопиранозы, звенья которой связаны бета-(1-4)-гликозидными связями. Макромолекулярная цепь не имеет разветвлений, в ней содержится 2500—12 000 глюкозных остатков, что соответствует молекулярной массе от 400 000 до 1—2 млн. Бета-конфигурация аномерного атома углерода приводит к тому, что макромолекула целлюлозы имеет строго линейное строение. Этому способствует образование водородных связей внутри цепи, а также между соседними целями. Такая упаковка цепей обеспечивает высокую механическую прочность, волокнистость, нерастворимость в воде и химическую инертность, что делает целлюлозу прекрасным материалом для построения клеточных стенок растений. Целлюлоза не расщепляется обычными ферментами желудочно-кишечного тракта, но она является необходимым для нормального питания балластным веществом. Большое практическое значение имеют эфирные производные целлюлозы: ацетаты (искусственный шелк), ксантогенаты (вискозное волокно, целлофан), нитраты (взрывчатые вещества, коллоксилин) и др.
Декстраны – полисахариды бактериального происхождения, построенные из остатков ά-D-глюкопиранозы. Молекулы декстранов сильно разветвлены. Декстраны используют как заменители плазмы крови, однако большая молекулярная масса природных декстранов (несколько миллионов) делает их непригодными для приготовления инъекционных растворов вследствие плохой растворимости. В связи с этим молекулярную массу снижают до 50—100 тыс. с помощью кислотного гидролиза или ультразвука и получают клинические декстраны, например препарат полиглюкин. Декстраны обладают антигенными свойствами. Можно отметить, что декстраны, синтезируемые обитающими на поверхности зубов бактериями, являются компонентами налета на зубах.
Хитин– основной полисахарид роговых оболочек насекомых и ракообразных, встречается в грибах. Хитин - неразветвленный полисахарид, построенный их остатков N-ацетил-D-глюкозамина, связанных β-1,4-гликозидными связями.
Пектиновые вещества содержатся в ягодах, фруктах и овощах, способствуют желеобразованию Основной компонент пектиновых веществ – пектовая кислота – линейный полисахарид, построенный их остатков D-галактуроновой кислоты, связанных ά-1,4-гликозидными связями.
Инулин. Этот полисахарид обычно накапливается в клубнях, а также содержится в водорослях. Гомополисахарид инулин состоит из остатков D-фруктопиранозы, связанных β-(2-1)-связями.
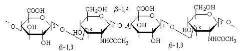
Гетерополисахариды имеют в основном животное или бактериальное происхождение. Важное значение имеют гетерополисахариды, входящие в состав соединительной ткани. Полисахариды соединительной ткани находятся в виде углевод-белковых комплексов - протеогликанов. Наиболее важные из них: хондроитинсульфаты (кожа, хрящи, сухожилия), гиалуроновая кислота (хрящи, стекловидное тело глаза, суставная жидкость), гепарин (печень, кровеносные сосуды). Для этих полисахаридов характерны общие черты в строении. Они имеют неразветвленную структуру и содержат гликуроновые кислоты и ацетилированные аминосахара. Например, гиалуроновая кислота состоит из дисахаридных фрагментов, включающих D-глюкуроновую кислоту и N-ацетил-D-глюкозамин, которые связан внутри биозного фрагмента β-1,3-гликозидной связью, между биозными фрагментами - β-1,4-гликозидной связью.

Как свидетельствует само их название, хондроитинсульфаты являются эфирами серной кислоты (сульфатами). Сульфатная группа образует эфирную связь с гидроксильной группой N-ацетил-D-галактозамина, находящейся либо в 4-м, либо в 6-м положении. Соответственно различают хондроитин-4-сульфат и хондроитин-6-сульфат.

Гепарин. В гепарине в состав повторяющихся дисахаридных единиц входят остатки D-глюкозамина и двух уроновых кислот — D-глюкуроновой и L-идуроновой. В количественном отношении преобладает L-идуроновая кислота. Внутри дисахаридного фрагмента осуществляется ά-(1-4)-гликозидная связь, а между дисахаридными фрагментами — ά-(1-4)-связь, если фрагмент оканчивается L-идуроновой кислотой, и β-(1-4)-связь, если D-глюкуроновой кислотой. Аминогруппа у большинства глюкозаминных остатков сульфатирована, а у некоторых из них — ацетатирована. Кроме того, сульфатные группы содержатся у ряда L-идуроновых кислот при С-2, а также глюкозаминных остатков при С-6. Остатки D-глюкуроновой кислоты не сульфатированы.

Гепарин и гепаритинсульфат, подобно хондроитинсульфату, соединяются с белком через тетрасахаридный фрагмент, концевым звеном которого является D-ксилоза. Гепарин препятствует свертыванию крови, т. е. проявляет антикоагулянтные свойства.
Дата добавления: 2015-08-04; просмотров: 4164;
