Влияние на организм. А. Сердечно-сосудистая система.Резко отличаясь от всех остальных анестетиков, кетамин увеличи-
А. Сердечно-сосудистая система.Резко отличаясь от всех остальных анестетиков, кетамин увеличи-
вает артериальное давление, ЧСС и сердечный выброс (табл. 8-8). Этот опосредованный эффект обусловлен стимуляцией центральных отделов симпатической нервной системы. Данным изменениям сопутствует увеличение работы сердца и повышение давления в легочной артерии. Вследствие стимуляции кровообращения кетамин нецелесообразно использовать при ИБС, нелеченной или неправильно леченной артериальной гипертонии, сердечной недостаточности и артериальных аневризмах. С одной стороны, кетамин оказывает прямое угнетающее влияние на миокард, которое проявляется при симпатической блокаде (например, при разрыве спинного мозга) или истощении запасов катехоламинов (например, в терминальной фазе шока). С другой стороны, опосредованная стимуляция кровообращения делает кетамин препаратом выбора при остром гиповолемическом шоке.
Б. Система дыхания.Стандартные индукционные дозы кетамина влияют на дыхание незначительно. При быстром струйном введении или при сочетании с опиоидами возможно развитие апноэ. Кетамин — мощный бронходилататор, что при бронхиальной астме делает его идеальным анестетиком для индукции. Хотя рефлексы с верхних дыхательных путей обычно не угнетаются, при повышенном риске аспирации показана интубация трахеи (гл. 15, раздел "Случай из практики"). Кетамин усиливает слюноотделение, что можно предотвратить предварительным введением холино-блокатора.
В. Центральная нервная система.Параллельно стимуляции кровообращения кетамин увеличивает потребление кислорода головным мозгом, мозговой кровоток и внутричерепное давление. Следовательно, внутричерепные объемные образования — противопоказание к применению кета-мина. Кетамин может вызывать миоклонические движения, обусловленные подкорковой электрической активностью, не выявляемой на ЭЭГ. Нежелательные психомиметические эффекты (например, иллюзии, устрашающие сновидения, делирий) на этапе пробуждения реже возникают при использовании бензодиазепинов в премедикации и у детей. Кетамин — самый "полноценный" из неингаляционных анестетиков, потому что он вызывает аналгезию, амнезию и утрату сознания.

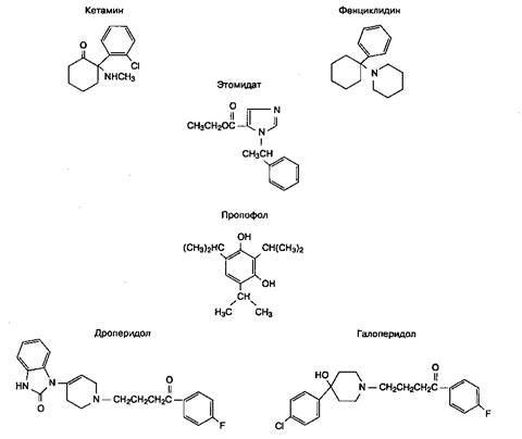
Рис. 8-9. Структура кетамина, этомидата, пропофола и дроперидола. Обратите внимание на сходство между кетами-ном и фенциклидином, а также между дроперидолом и галоперидолом
ТАБЛИЦА 8-7.Показания к применению и дозы кетамина, этомидата, пропофола и дроперидола
| Препарат | Показания к применению | Путь введения | Доза |
| Кетамин | Индукция | В/в, в/м | 1 -2 мг/кг, 3-5 мг/кг |
| Этомидат | Индукция | В/в | 0,2-0,5 мг/кг |
| Пропофол (диприван) | Индукция | В/в | 1-2,5 мг/кг |
| Интраоперационная анестезия | В/в инфузия | 50-200 мкг/(кг х мин) | |
| Седация | В/в инфузия | 25-100 мкг/(кг х мин) | |
| Дроперидол | Премедикация | В/м | 0,04-0,07 мг/кг |
| Седация | В/в | 0,02-0,07 мг/кг | |
| Устранение рвоты | В/в | 0,05 мг/кг1 |
1 Максимальная доза у взрослых, которая не замедляет пробуждение, составляет 1,25-2,5 мг.
Дата добавления: 2015-08-04; просмотров: 815;
