МОРЕХІДНІ ЯКОСТІ ТА МІЦНІСТЬ СУДНА.
Плавучестью называют способность судна поддерживать вертикальное равновесие в заданном положении относительно поверхности воды в результате действия силы веса судна и выталкивающей силы воды. Мерой плавучести судна является его водоизмещение
, где ρ – плотность забортной воды.

На судно, плавающее неподвижно на спокойной воде в положении равновесия, действуют следующие силы:
- сила веса всех его частей, которые приводятся к равнодействующей – силе веса судна Р = gΔ, направленной вертикально вниз и приложенной в центре тяжести (ЦТ) судна точке G(xg, yg, zg);
- гидростатические силы давления воды, действующие по нормалям к подводной поверхности судна; горизонтальные составляющие этих сил взаимно уравновешиваются, а вертикальные составляющие приводятся к их равнодействующей – силе плавучести γV (γ – удельный вес забортной воды), направленной вертикально вверх и приложенной в центре величины (ЦВ) - ЦТ подводного объема судна С(xc, yc, zc).
На корпус движущегося судна действуют, кроме того, гидродинамические силы давления воды, имеющие также не только горизонтальные, но и вертикальные составляющие. Однако при решении большинства задач статики судна подъемной силой корпуса, обусловленной гидродинамическими силами давления воды, пренебрегают. Эти силы учитывают только в некоторых специальных задачах статики, например в задачах, связанных с остойчивостью глиссирующих судов.
Основным физическим законом, определяющим плавучесть судна, служит закон Архимеда, согласно которому сила веса судна равна силе плавучести, а масса (водоизмещение судна Δ) равна массе вытесненной им воды:
P = γV = γСbLBd; Δ = ρV.
Эти формулы являются математическими выражениями первого условия равновесия плавающего судна.
Из теоретической механики известно, что для равенства двух сил необходимо и достаточно, чтобы они были равны по абсолютной величине и направлены противоположно друг другу по прямой, соединяющей точки их приложения. В данном случае обе силы – сила веса и сила плавучести – направлены вертикально; следовательно, вторым условием равновесия плавающего судна является расположение точек приложения этих сил - ЦТ и ЦВ - на одной вертикали, т. е. на одном перпендикуляре к плоскости ватерлинии.
Уравнение плоскости ватерлинии может быть записано в виде
x tgψ + y tgθ – z + d = 0.
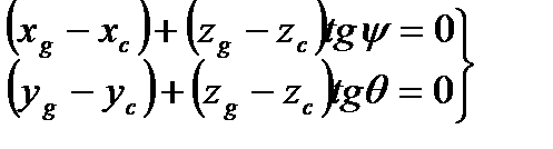
Из аналитической геометрии известно, что прямая, соединяющая точки G и С, будет перпендикулярна плоскости, выраженной этим уравнением, в том случае, когда удовлетворяются следующие уравнения:

Эти уравнения выражают второе условие равновесия плавающего судна. В совокупности первое и второе условие составляют систему уравнений равновесия судна.
Если судно сидит прямо и на ровный киль (ψ = θ = 0), то уравнения второго условия равновесия принимают вид:
xg = xc; yg = yc.
Дата добавления: 2015-07-18; просмотров: 1675;
