Корреляционный анализ
Это метод статистического исследования опытных данных, который позволяет определить степень и форму зависимости между переменными. Корреляционный анализ позволяет устранить влияние случайных, непостоянно действующих факторов и выявить влияние основных факторов.
Главные задачи корреляционного анализа
1. Установление тесноты связи между результирующим показателем и фактором.
2. Выявление формы этой связи.
Теснота связи характеризуется корреляцией. При однофакторном анализе говорят о парной корреляции. Если на один результирующий показатель оказывают влияние несколько факторов, то говорят о множественной или многомерной корреляции. В случае парной корреляции для оценки тесноты линейной связи используют коэффициент корреляции. Его значение изменяется от -1 до +1. Если коэффициент корреляции по абсолютной величине равен 1, то зависимость считается не стохастической, а функциональной. При коэффициенте корреляции =0, связь между показателями отсутствует. Между теснотой связи и величиной коэффициента корреляции принята следующая зависимость.
| Величина коэффициента корреляции | 0,1–0,3 | 0,3–0,5 | 0,5–0,7 | 0,7–0,9 | 0,9–0,99 |
| Теснота связи | слабая | умеренная | заметная | высокая | Весьма высокая |
Знак коэффициента корреляции не определяет тесноту связи, а указывает на характер зависимости: + прямая, - обратная. Кроме коэффициента корреляции для оценки тесноты связи используют коэффициент детерминации
. Этот коэффициент определяет вероятность того, что между показателями существует связь. При значениях r≤0,7 коэффициент детерминации d<0,5 и получение аналитических зависимостей, связывающих исследуемые параметры, практического значения не имеют, так как вероятность действительной связи между исследуемыми параметрами меньше 50%. Коэффициент корреляции для прямолинейной формы связи рассчитывается по формуле:


Алгоритм нахождения связи при корреляционном анализе включает несколько этапов:
1. Выбирается результативный показатель и факторы на него влияющие. Результаты помещают в таблицу, в которой результативный показатель или фактор размещают в порядку убывания или возрастания.
2. Данные из таблицы представляются графически и получают, так называемое, корреляционное поле.
3. По форме корреляционного поля определяют предполагаемую форму связи и, если она носит прямолинейный характер, то вычисляют коэффициент корреляции. При r≤0,7 получение на следующем этапе математической модели связи нецелесообразно, так как она практического значения не имеет. При r>0,7 переходят к следующему этапу.
4. С использованием метода наименьших квадратов определяются коэффициенты a и b прямолинейного уравнения регрессии
. После получения этой зависимости вычисляют ошибку аппроксимации:

Где
— теоретическое значение y, рассчитанное на основе полученной математической зависимости. Ошибка аппроксимации не должна превышать 0,2 (20%). Для нахождения коэффициентов прямолинейной зависимости используется следующая система уравнений:
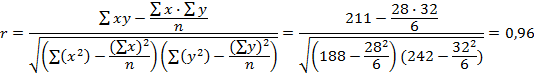
Рассмотрим конкретный пример применения корреляционного анализа.
| Итого | x | y | x∙y | x2 | y2 |
|
|
| 1,388 | 0,31 | ||||||
| 2,47 | 0,235 | ||||||
| 3,55 | 0,1125 | ||||||
| 5,71 | 0,43 | ||||||
| 7,87 | 0,125 | ||||||
| 11,11 | 0,01 | ||||||
| - | 1,2225 |
30.03.09
Построим корреляционное поле
(график)
Предположим, что cвязь между параметрами линейная и определим r.

Связь между параметрами весьма высокая. Следовательно, можно переходить к построению математической модели.
a= 0,312; b=1,076
Основную смысловую нагрузку несет коэффициент b. Он показывает насколько изменяется результативный признак y при изменении фактора x на одну единицу. В завершении выполним расчет ошибки аппроксимации.

Ошибка аппроксимации для полученной модели достаточно велика. Тем не менее с учетом коэффициента корреляции можно считать, что полученная модель дает адекватное описание формы взаимосвязи между x и y.
Использованные формулы пригодны для случая прямолинейной зависимости. В случае нелинейной зависимости используется более сложный математический аппарат. Этого можно избежать, если применить такой прием как замену переменной. Он заключается в том, что независимый фактор заменяется некоторой функцией, которая переводит нелинейную зависимость в линейную и для обработки которой может быть использован более простой математический аппарат.
Рассмотрим пример.
| x | y | zZ=
| Zy | Z2 | y2 |
|
| |
| 2,48 | 0,24 | |||||||
| 3,8 | 0,05 | |||||||
| 9,08 | 0,008 | |||||||
| 13,04 | 0,069 | |||||||
| 23,6 | 0,026 | |||||||
| Итого | 0,393 |
Предполагаем, что искомая зависимость представляет собой квадратную параболу и выполним замену переменной z=
.
После замены переменной искомая модель будет иметь вид
и для обработки этих данных можно использовать прежние расчетные формулы.
Найдем коэффициент корреляции.

Связь весьма высокая. Находим коэффициенты прямолинейного уравнения.
b=0,44; a=2,04

Аналогичным образом можно выполнить переход от нелинейных, гиперболических, логарифмических и степенных зависимостей к линейным. Например, для перевода гиперболической зависимости в линейную можно использовать подстановку
. В тех случаях, когда на глаз сложно определить вид нелинейной зависимости, то пробуют несколько, предположительно подходящих функций и используя подстановки определяют коэффициент корреляции. Та функция с учетом подстановки, для которой коэффициент корреляции является максимальным и является наилучшей. Рассмотрим некоторые другие виды нелинейных зависимостей:
1. Гиперболическая форма связи 
Для нахождения коэффициентов уравнения используется система аналогичная прямолинейной связи.
2. Логарифмическая форма связи 
3. Параболическая форма связи
АНАЛИЗ РОЗНИЧНОГО ТОВАРООБОРОТА
Анализ товарооборота проводится по нескольким направлениям:
1. Анализ товарооборота по составу
a. по видам продаж (розничный, мелкооптовый, оптовый);
b. по организационным формам (стационарная сеть, передвижная сеть);
c. по формам обслуживания (способам продажи): традиционный способ (через прилавок), самообслуживание, посылочная торговля;
d. по форме оплаты (за наличный расчет, по безналичному расчету, продажа в кредит).
2. По общему объему.
3. По структуре товарооборота.
4. По направленности во времени (ретроспективный, прогнозный). Ретроспективный анализ предполагает:
· построение динамических рядов товарооборота по общему объему;
· анализ товарооборота по составу;
· анализ товарооборота по структуре ассортимента;
· анализ товарооборота по внутригрупповой ассортиментной структуре;
· факторный анализ товарооборота, в том числе: анализ влияния товарного обеспечения и скорости обращения товаров на объем продаж; анализ влияния обеспеченности предприятия основными средствами (торговые площади, торговое оборудование) и эффективности их использования; анализ влияния изменения численности персонала и производительности труда на Т/О.
· оценка критического объема продаж (объем безубыточности) по фактическим данным о затратах и доходах.
Прогнозный анализ предполагает:
· определение критического объема продаж с учетом предполагаемых изменений в затратах и доходах;
· построение альтернативных вариантов структуры товарооборота и выбор оптимального соотношения между товарными группами.
Дата добавления: 2015-07-18; просмотров: 1366;
