Выработка имитовставки к массиву данных.
Рис. 11 Алгоритм зашифрования (расшифрования) данных в режиме гаммирования с обратной связью.
|
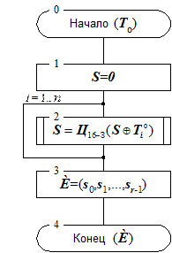
Рис. 12. Алгоритм выработки имитовставки для массива данных.
|
Для решения задачи обнаружения искажений в зашифрованном массиве данных с заданной вероятностью в ГОСТе предусмотрен дополнительный режим криптографического преобразования – выработка имитовставки, контрольной комбинации, зависящей от открытых данных и секретной ключевой информации. Целью использования имитовставки является обнаружение всех случайных или преднамеренных изменений в массиве информации. Схема этого режима приведена на Рис. 12. В качестве имитовставки берется часть блока, полученного на выходе, обычно 32 его младших бита. При выборе размера имитовставки надо принимать во внимание, что вероятность успешного навязывания ложных данных равна величине 2–|И| на одну попытку подбора. При использовании имитовставки размером 32 бита эта вероятность равна 2–32»0.23·10–9.
Дата добавления: 2015-08-26; просмотров: 1122;

Рис. 11 Алгоритм зашифрования (расшифрования) данных в режиме гаммирования с обратной связью.
Рис. 12. Алгоритм выработки имитовставки для массива данных.