Выпрямители.
| а) |
| б) |
| в) |
| U |
| вх |
| t |
| T |
| U |
| t |
| U |
| R |
| U |
| U |
| m |
| U |
| m |
| обр |
| D |
| R |
| H |
| Рис. 21.1 |
В состав схемы входят: источник синусоидального напряжения
, выпрямительный диод, и нагрузка
. При анализе работы схемы будем полагать, что сопротивление диода в прямом направлении равно нулю, а в обратном - бесконечности. При таких допущениях через нагрузку протекает несинусоидальный периодический ток, в виде полуволн синусоиды:

i(t) =
.
Этот ток создает на сопротивлении
падение напряжения в виде периодических пульсаций. С учетом принятых допущений амплитудное значение пульсаций равно амплитудному значению входного напряжения (рис.1в). Во время отрицательного полупериода входного напряжения все напряжение источника падает на бесконечно большом сопротивлении диода. Такое падение напряжения называют обратным напряжением диода, а выпрямитель - однополупериодным.
Рис.13.1в наглядно показывает, что период пульсаций выпрямленного напряжения Т равен периоду входного напряжения. Значит и частота пульсаций
равна частоте входного напряжения f, а кратность пульсаций:
. (13.1)
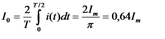
Определим интегральные параметры выпрямленного напряжения. Среднее значение тока
определим известным по лекции 2 выражением:
. (13.2)
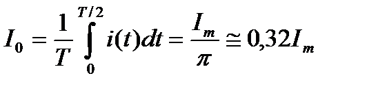
Аналогично:
. (13.3)
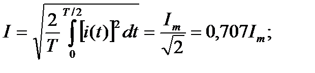
Действующее значение выпрямленного тока:
. (13.4)
Соответственно:
. (13.5)
Для оценки качества выпрямленного напряжения применяют специальный параметр - коэффициент пульсаций - Кп. Он определяется отношением амплитуды первой гармоники выпрямленного напряжения (пульсаций) -
к среднему значению -
, т.е.
. (13.6)
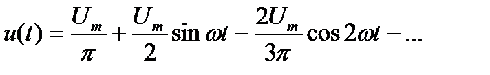
Разложение в ряд Фурье функции, представленной рис.13.1в имеет вид:
.
В этом разложении первый член - постоянная составляющая - среднее значение выпрямленного напряжения, а амплитуда первой гармоники
.
Следовательно
. (13.7)
Таким образом, рассмотренная схема однополупериодного выпрямителя позволяет получить малые значения среднего и действующего токов и напряжений и обладает большим значением пульсаций - Кп = 1,57.
Значительно лучшими параметрами обладает схема двухполупериодного выпрямителя, разработанная в 1901 г. академиком Миткевичем (рис.13.2а). В состав схемы входят: источник синусоидального напряжения, трансформатор с выводом от средней точки вторичной обмотки, два диода и сопротивление нагрузки - RH . Сопротивление нагрузки включено между катодами диодов и средней точкой вторичной обмотки.
| а) |
| б) |
| в) |
| U |
| вх |
| t |
| T |
| U |
| t |
| U |
| R |
| U |
| U |
| m |
| R |
| H |
| Рис. 13.2 |
| + |
| - |
| + |
| - |
| 1' |
| U |
| m |
| Тр |
| D |
| D |
| i |
| T/2 |
На интервале времени от 0 до Т/2 (рис.13.2б) полярность напряжения на вторичной обмотке трансформатора такая, как показано на рис.13.2а. К диоду Д1 приложено прямое напряжение, а к диоду Д2 - обратное. В цепи вторичной обмотки потечет ток i1 от точки 1, через диод Д1, сопротивление RH к средней точке вторичной обмотки. Этот ток создаст падение напряжения (пульсацию) на интервале положительного полупериода входного напряжения.
На интервале от Т/2 до Т (отрицательный полупериод) полярность напряжения на вторичной обмотке трансформатора изменится на противоположную. Теперь к диоду Д2 приложено прямое напряжение, а к диоду Д1 - обратное. В цепи вторичной обмотки потечет ток i2 от точки 1', через диод Д2, сопротивление RH к средней точке вторичной обмотки. Направление тока через RH осталось таким же и во время положительного полупериода. Поэтому этот ток создаст падение напряжения (пульсацию) на интервале отрицательного полупериода. Именно поэтому рассматриваемый выпрямитель часто называют двухполупериодным.
Рис.13.2в наглядно показывает, что период пульсаций выпрямленного напряжения Тп в два раза меньше периода входного напряжения. Следовательно:
;
;
; (13.8)
; (13.9)
(13.10)
; (13.11)
; (13.12)
где
.
Выражения показывают, что схема Миткевича имеет значительно лучшие параметры, чем однополупериодный выпрямитель. Однако применение трансформатора с выводом от средней точки вторичной обмотки не всегда приемлемо. Свободна от этого недостатка схема мостового выпрямителя (рис.13.3). Схема включает в свой состав источник напряжения u(t), четыре диода и сопротивление нагрузки RH, которое включено в диагональ моста.
Пусть во время положительного полупериода входного напряжения полярность контактов 1 - 1' такая, как показано на рис. 13.3. В этом случае к диодам Д1 и Д4 приложено прямое напряжение, а к диодам Д2 и Д3 - обратное. В цепи выпрямителя потечет ток i1 от контакта 1, через диод Д1, сопротивление нагрузки RH, диод Д4, к контакту 1'. Этот ток создаст на сопротивлении нагрузки падение напряжения (пульсацию) на интервале положительного полупериода входного напряжения (см.рис.13.2в).
| R |
| H |
| D |
| D |
| i |
| + |
| - |
| D |
| D |
| i |
| 1' |
| Рис. 13.3 |
Сопоставление параметров одно и двухполупериодных выпрямителей позволяет установить связь между значениями кратности пульсаций m и коэффициента пульсаций Кп. Так для однополупериодного выпрямителя m = 1, а Кп = 1,57. Для двухполупериодного выпрямителя m = 2, а Кп = 0,67. Учитывая, что коэффициент пульсаций определяется средним значением выпрямленного напряжения U0, найдем зависимость
. Для этого достаточно проинтегрировать мгновенное значение напряжения на нагрузке
в пределах от -Т/2m до Т/2m (т.е. в пределах одной пульсации)
.
Заменим оператор интегрирования dt на dwt. Тогда период Т нужно заменить на 2p.
Теперь:
. (13.13)
Полученное решение показывает, что для увеличения среднего значения выпрямленного напряжения U0 (а значит для уменьшения Кп) нужно увеличивать кратность пульсаций m. Значение m>2 можно получить в многофазных выпрямителях.
На рис. 13.4 приведена схема трехфазного однополупериодного выпрямителя. В ее состав входят трехфазный трансформатор, три диода и сопротивление нагрузки Rн. Каждая фаза вторичной обмотки трансформатора включена на общую нагрузку и соответствующий диод. Поэтому каждый диод открывается во время положительной полуволны своей фазы. Огибающая выпрямленного напряжения представляет три пульсации на интервале одного периода входного напряжения, т.е. m = 3, а:
.
Более эффективна мостовая схема трехфазного выпрямителя (рис.13.5). В этой схеме каждая пара диодов входит в состав двух мостов. Поэтому шесть диодов образуют три мостовые схемы для трех фаз. Огибающая выпрямленного напряжения содержит шесть пульсаций на интервале одного периода, т.е. m = 6, а:
.
Дата добавления: 2015-08-11; просмотров: 929;
