Показатели кредита

Показатель Методика расчета и содержание показателя
Средний размер ссуды (без учета числа оборотов за год) Рассчитывается по формуле , где - объем i-ссуды (кредита); - срок i-ссуды
Средняя ссудная задолженность по кредиту , где , ,…, - ссудная задолженность, включая просроченную задолженность на первое число месяца; n – число показателей ссудной задолженности
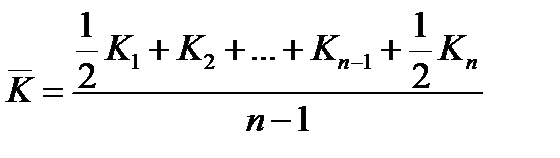
Средний срок пользования ссудами (при условии их непрерывной оборачиваемости) Определяется по формулам: o средней гармонической взвешенной – ; o средней арифметической взвешенной –  
Продолжение таблицы 30
     
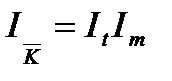
Число оборотов кредита , или где - оборот кредита по погашению; - средние остатки кредита (ссудной задолженности); - число календарных дней в периоде
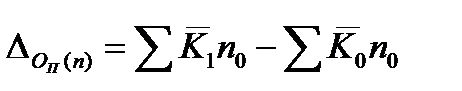
Относительное и абсолютное изменение среднего числа оборотов кредита Определяется системой индексов: индексом переменного состава, индексом постоянного состава и индексом структурных сдвигов: , или ;   или ; , или
Продолжение таблицы 30
      где , - число оборотов кредита соответственно в отчетном и базисном периодах; , - средние остатки кредита по отдельным группам единиц совокупности в отчетном и базисном периодах; , - показатели структуры средних остатков кредита в отчетном и базисном периодах( ).  
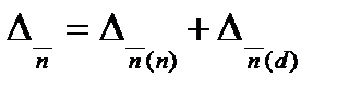
  Абсолютное изменение среднего числа оборотов кредита: за счет следующих факторов: o изменения числа оборотов кредита – o изменения структуры средних остатков кредита – Взаимосвязь показателей:  
Факторный анализ изменения оборота кредита по погашению Индекс оборота кредита по погашению:  
Продолжение таблицы 30
    Показывает относительное и абсолютное изменение оборота кредита по погашению во времени под влиянием двух факторов: изменений числа оборотов кредита и средних остатков кредита. Индекс числа оборотов кредита:  
  Характеризует относительное изменение числа оборотов кредита во времени и абсолютное изменение оборота кредита во времени и абсолютное изменение оборота кредита по погашению за счет изменения числа оборотов кредита. Индекс средних остатков кредита:     Показывает относительное изменение средних остатков кредита во времени и абсолютное изменение оборота кредита по погашению за счет изменения средних остатков кредита. Взаимосвязь индексов:
  Продолжение таблицы 30  
   
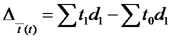
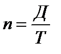
Средняя длительность пользования кредитом или , где Д – число календарных дней в периоде; ; Д – однодневный оборот по погашению кредита  
Относительное и абсолютное изменение средней длительности пользования кредитом Определяется системой индексов: индексом переменного состава, индексом постоянного состава и индексом структурных сдвигов:  
  , или , или  
Продолжение таблицы 30
    , или где , - однодневный оборот по погашению кредита в отчетном и базисном периодах; , - показатели структуры однодневного оборота по погашению в отчетном и базисном периодах( ). Абсолютное изменение средней длительности пользования кредитом: за счет следующих факторов: o изменения длительности пользования кредитом – o изменения структурных сдвигов в однодневном обороте – Взаимосвязь показателей:
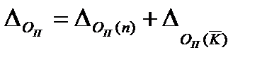
Факторный анализ изменения среднего остатка кредита Индекс среднего остатка кредита: Показывает относительное и абсолютное изменение среднего остатка кредита во времени под влиянием двух факторов: изменения длительности пользования кредитом
Продолжение таблицы 30
    и однодневного оборота по погашению. Индекс длительности пользования кредитом: Характеризует относительное изменение средней длительности пользования кредитом во времени и абсолютное изменение средних остатков кредита за счет изменения длительности пользования кредитом. Индекс однодневного оборота по погашению: Показывает относительное изменение однодневного оборота по погашению и абсолютное изменение среднего остатка кредита за счет изменения однодневного оборота по погашению. Взаимосвязь индексов:  

В Российской Федерации валютные операции могут осуществляться только уполномоченными банками, т.е коммерческими банками, получившими лицензию Центрального банка Российской Федерации на проведение операций в иностранной валюте, включая банки с участием иностранного капитала и банки, капитал которых полностью принадлежит иностранным участникам.

 

 

Основные показатели валютных операций банков  
Число участников торгов  
Объем спроса (млн единиц иностранной валюты)  
Объем предложения (млн единиц иностранной валюты)  
Объем операций брутто (млн единиц иностранной валюты)  
Объем операций нетто (млн единиц иностранной валюты)  
Число сделок (тыс. единиц)  
Средний размер разовой сделки (единиц иностранной валюты)  
Курсы национальной валюты на определенную дату и в среднем за определенный период (валютный курс – цена денежной единицы одной страны, выраженная в денежных единицах других стран или в международных единицах)  
Кросс-курсы внутреннего рынка, их динамика (кросс-курс – курсовое соотношение между двумя валютами, определяемое на основе курса этих валют по отношению к курсу третьей валюты) и др.  

 


Показатели анализа состояния банка  
Балансовая статистика банков

Показатели ликвидности  
Показатели задолженности  
Показатели деловой активности  
Показатели прибыли и рентабельности  
Показатели ликвидности банка: (степени надежности банка и его возможности своевременно выполнять обязательства перед своими клиентами)  
Коэффициент мгновенной ликвидности  
Коэффициент текущей ликвидности  
Коэффициент долгосрочной ликвидности  
Коэффициент общей ликвидности  

 

 

 


Таблица 31








Дата добавления: 2015-08-11; просмотров: 1856;


Поиск по сайту:

При помощи поиска вы сможете найти нужную вам информацию.

Поделитесь с друзьями:

Если вам перенёс пользу информационный материал, или помог в учебе – поделитесь этим сайтом с друзьями и знакомыми.
helpiks.org - Хелпикс.Орг - 2014-2026 год. Материал сайта представляется для ознакомительного и учебного использования. | Поддержка
Генерация страницы за: 0.008 сек.