Масштабирование
Аналоговые величины могут быть преобразованы в физические величины, например, инженерные единицы (EU), такие как 0С, использованием функции или блока линеаризации.
Как преобразовать входной аналоговый сигнал в инженерные единицы?
Пусть мы имеем 4-20мА сигнал от температурного преобразователя с диапазоном 800 – 1500 0С. Он подсоединяется через 250 Ом резистор к аналоговому модулю с 0 – 10В пределами. Аналоговый модуль даёт 12 бит разрешение, читая от 0 до 4095. Аналоговый сигнал температуры во входном модуле будет от 1 до 5В:
(4*10-3 А*250 Ом=1000*10-3 =1В) и даёт для числа от 410 до 2048. Рассмотрим график:

Рис. 2 Преобразование входного аналогового сигнала в инженерные единицы
Диапазон инженерных единиц: 800 – 1500 – это характеристика датчика
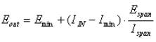
Еspan = 700 - полная шкала инжеренерных единиц
Ispan = (2048 - 410) =1638 - полный диапазон аналогового входа. Если входной сигнал на входе модуля IIN , Imin – минимальный сигнал на входном модуле (410)
Е min - минимальный входной сигнал в инженерных единицах (800)

Наклон м.б. рассчитан
, это постоянная величина.
Дата добавления: 2015-08-11; просмотров: 1145;
