Энерготраты при ходьбе и беге
| Вид деятельности | Энерготраты на 1 кг массы тела, Дж/с |
| Ходьба 110 шагов в 1 мин | 4,74 |
| 6 км/час | 4,98 |
| Бег со скоростью 8 км/час | 9,46 |
| 10,8 км/час | 12,4 |
Расчеты показывают, что человек, преодолевающий в день при обычной ходьбе расстояние в 5 км, нуждается в восполнении энергии, равной 5 МДж, а на терренкуре (ходьба с углом подъема 15° и скоростью 2 км/ч) 60 мин — 450 ккал (при массе тела 70 кг).
Затраты энергии растут с увеличением скорости в степенной зависимости. Они увеличиваются при малых скоростях во второй степени, а при приближении к доступному для данного лица максимуму — в третьей и даже в четвертой степени.
Биомеханика различных видов спорта
Гребля
При гребле весла совершают рабочие движения (гребок), направленные назад, относительно лодки, и возвратные движения (замах), направленные вперед. На рис. 15.29 представлена гребная лодка, скорость движения которой Умы будем считать постоянной, хотя реальная лодка двигалась бы во время рабочего хода весел ускоренно, а во время возвратного хода замедленно. На нее действует лобовое сопротивление D. Лопасти весел движутся вперед и назад со скоростью U относительно лодки, так что относительно воды они имеют скорость (U — V), направленную назад во время рабочего движения и скорость (U + V), направленную вперед

Рис. 15.29.Механика гребли (по Р. Александер, 1970)
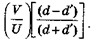
во время возвратного движения. В первом случае лопасти испытывают лобовое сопротивление d, а во втором — d'. Мощность, необходимая для того чтобы лодка преодолевала сопротивление воды, равна DV. Во время рабочего движения весел на преодоление их лобового сопротивления расходуется мощность 2d(U—V) так что общая мощность составляет 2d(U — V) + DV. Во время возвратного движения вместо 2d'(U — V) мы будем иметь 2d'(U + V) и общая мощность будет равна 2d'(U + V) + DV. Средняя затрата мощности составляет d(U — V) + d'(U + V) + DV, а КПД равен
Во время рабочего движения на весла действует сила 2d, направленная вперед, а при возвратном движении — сила 2d', направленная назад, так что средняя сила равна (d — d') и направлена вперед. Эта сила должна уравновешивать лобовое сопротивление лодки, т. е. D = (d-d').
После того, как мы подставили (d — d') вместо D наше выражение для КПД примет вид
Первый множитель в этом выражении
зависит от относительных размеров и коэффициентов сопротивления лодки и весел, и его можно сравнить с теоретическим КПД винта. На самом деле КПД будет меньше величины приведенного выражения, так как мы не учитывали некоторых потерь энергии. Например, лопасти весел движутся не по прямой, а по дуге круга и следовало бы учесть работу, затрачиваемую на отталкивание воды в сторону.
Для того чтобы КПД был высоким, скорость движения весел не должна быть намного больше скорости движения лодки. Форма весла должна обеспечивать большое лобовое сопротивление при малой скорости. Быстрые гребные лодки имеют обтекаемую форму, но весла у них с широкой, плоской лопастью, которую держат перпендикулярно траектории ее движения в воде, чтобы сделать возможно большим лобовое сопротивление. Величина d' должна быть малой. Для возвратного движения гребцы поднимают весла над водой, так как сопротивление воздуха гораздо меньше, чем при той же скорости в воде. Чтобы еще больше снизить d', лопасти весел поворачивают в горизонтальное положение.
Дата добавления: 2015-07-24; просмотров: 1045;
