Накопительные (кумулятивные) оптовые скидки с цены
Это гарантированный норматив снижения стандартной цены продукта, применяемый на дополнительный объем покупки (выше оговоренного предела) и распространяемый на весь объем покупки, включая объем предшествующих покупок, за определенный период времени. Такие скидки полезны для фирм, продающих товары модного или быстро меняющегося ассортимента (например, пошив одежды) для реализации в мелкооптовой сети или розничным магазинам. Формы накопления скидок могут быть разными. Рассмотрим один из вариантов.
Кумулятивные скидки в форме растущих оптовых скидок При этой форме расчетов договор о поставках включает в себя, например, следующую таблицу условий платежа:
| Объём закупки в течение года, шт. | Оптовая скидка на весь объём закупки до настоящего момента, % |
| до 2000 | |
| 2001-4000 | |
| 4001-6000 | |
| свыше 6000 |
При покупке каждой дополнительной партии производится перерасчет суммы платежа на весь объем покупки за период с начала года.
ПРИМЕР
Универмаг купил 2000 шт. товара.
Стартовая цена без скидки равна 400 руб.
Сумма платежа = 400 • (1 - 0,15) • 2000 = 680 000 руб. По цене 340 руб. за шт.
Предположим далее, что универмаг решает приобрести еще 1000 шт., т.е. объем покупки за некоторый период в течение одного года составит 2000 + 1000 = 3000 шт.
Сколько он должен уплатить за товар? Каков размер скидки с цены?
Если бы скидка была просто накопительной, но не кумулятивной, то универмаг уже получил бы право на скидку 17% с оптовой цены, так как вторая покупка суммируется с первой.
При стартовой цене единицы товара, равной 400 руб., сумма платежа составила бы:
400 • (1 - 0,17) • 1000 = 332 000 руб. Цена со скидкой равна 332 руб.
Итого за обе партии универмаг заплатил бы 680 000 + 332 000 = = 1 012 000 руб. (в случае отсутствия скидок пришлось бы заплатить 400 • 3000 = 1 200 000 руб.).
Однако кумулятивная скидка означает, что предоставляется еще одна льгота в случае повторных покупок в течение года. Расчет платежа по всему приобретаемому на настоящий момент объему производится исходя из цены с новой скидкой, т.е. из цены 332 руб.
Тогда за обе покупки универмаг должен уплатить:
332 • (2000 + 1000) = 996 000 руб.
Поскольку универмаг уже заплатил за купленные ранее товары 680 000 руб., то за новую партию он заплатит:
996 000 - 680 000 = 316 000 руб., а не 332 000 руб., как это следовало из оптовой скидки 17%. Таким образом, каждая единица товара из второй партии будет стоить для универмага фактически 316 руб.
Дополнительный доход универмага от покупки каждой единицы товара в первой партии составит 400 - 340 = 60 руб., а во второй партии 400 - 316 = 84 руб.
Если расчет ведется на основе прейскурантов отпускных цен, то таблица нарастающих оптовых скидок может иметь, например, следующий вид:
| Объем закупок в течение года, шт. | Цена товара |
| до 2000 | Прейскурантная |
| 2001 - 4000 | Прейскурантная минус 1,5% на весь объем закупки до настоящего момента |
| 4001 - 6000 | Прейскурантная минус 1,5% на весь объем закупки до настоящего момента |
| свыше 6000 | Прейскурантная минус 1,5% на весь объем закупки до настоящего момента |
ТОРГОВЫЕ (ДИЛЕРСКИЕ) СКИДКИ. Их предоставляют тем фирмам или агентам, которые входят в сбытовую сеть фирмы-производителя, обеспечивая хранение, учет товарных потоков и реализацию продукции. Эти скидки могут различаться в зависимости от способа реализации и продвижения продукта на рынки сбыта. Однако при одинаковых способах реализации и продвижения рекомендуется применять равные скидки для всех агентов и фирм, с которыми имеет дело фирма-производитель.
СЕЗОННЫЕ СКИДКИ. Это может быть предложение послесезонных или предсезонных скидок в качестве ценовых преимуществ для тех покупателей, которые готовы приобрести товар или услугу в несезонное время, т.е. в период отсутствия основного спроса на них. Такие скидки позволяют фирме-изготовителю поддерживать производство на стабильном уровне в течение всего года. Например, изготовитель лыж должен предоставлять весенние и летние скидки розничным торговцам, чтобы те заблаговременно заказывали его продукцию. Многие другие компании, скажем, гостиницы и пансионы, туристические бюро или фирмы, обслуживающие авиалинии, широко используют сезонные ценовые скидки в периоды пониженного спроса.
ПРОЧИЕ СКИДКИ. Выше были названы основные виды ценовых преимуществ, предоставляемых через систему скидок. Однако возможности планируемого применения скидок этим, конечно, не ограничиваются. Есть много других возможностей. Так, при продаже нового товара фирма-изготовитель часто использует практику зачета цены сдаваемого покупателем аналогичного старого, использованного товара, скажем, автомобиля. Заслуживают внимания также льготы, предоставляемые фирмой-изготовителем тем торговым фирмам, которые принимают участие в рекламных акциях или стимулировании продаж ее продукции. Эти льготы реализуются в виде специальных платежей или ценовых скидок. Кроме того, ценовые скидки могут предоставляться не только фирмой-изготовителем, но и самой торговой организацией, например, по какому-то случаю: в честь юбилея, дня основания фирмы или праздника.
Скидки с цен применяют многие компании, особенно если товар продается крупными партиями оптовому покупателю и в условиях жесткой конкуренции.
5.3 Дифференциация цен: использование цен для стимулирования сбыта
Существуют обстоятельства, когда фирма-продавец программирует заранее снижение цен на свою продукцию ниже их общего рыночного уровня и даже ниже уровня издержек производства. Эти обстоятельства связаны с необходимостью стимулирования сбыта. В современной рыночной практике сформировалось многообразие форм цены, стимулирующих сбыт. В целом они могут быть объединены в следующие основные группы.
ЦЕНА-ПРИМАНКА. Цены этой разновидности применяются обычно в розничной торговле, которая охотно прибегает к резкому снижению цен на известные торговые марки с целью создания особо привлекательного предложения товаров в своем магазине. Этого удается добиться благодаря тому, что изделия, хорошо известные потребителю своим высоким качеством, начинают предлагаться по таким низким ценам, которые не покрывают порой даже издержки изготовления. Делается это с целью активизировать приток покупателей в торговую точку. Однако, как правило, фирмы — изготовители торговой марки, используемой в качестве приманки для покупателей, не согласны с такой стратегией, так как опасаются, что низкие цены могут повредить имиджу товара. К тому же применение цен-приманок может осложнить взаимоотношения с другими розничными торговцами, которые также являются дилерами известной фирмы-производителя, но при этом продают ее товар по сложившимся рыночным ценам. В Германии, например, существует правовая норма, согласно которой предложение-приманка должно получать особое название, подчеркивающее его исключительный и временный характер (скажем, «особое предложение»). Специальное название вводится для того, чтобы у покупателя не сложилось представление об общем снижении уровня цен на данный продукт.
ЦЕНЫ СПЕЦИАЛЬНЫХ МЕРОПРИЯТИЙ. Они действуют только в ходе проведения каких-либо специальных мероприятий или в отношении особых форм предложения товаров. К числу специальных мероприятий относятся, например, сезонные распродажи, где снижаются цены на все товары сезонного потребления по окончании соответствующего сезона. Возможны и другие распродажи части или даже всего ассортимента какого-либо магазина в связи, скажем, с его временным закрытием на ремонт или переоборудование или в связи с частичным повреждением товаров, например в результате пожара. Бывают также юбилейные распродажи. Надо отметить, что все специальные мероприятия строго контролируются антимонопольным законодательством с целью недопущения нарушений условий конкуренции. Напротив, особые формы предложения (так называемые специальные предложения — Sonderangebote — нем.) широко распространены повсеместно как средство рекламы или ускоренной реализации залежавшегося товара. Они допускаются без строго оговоренных временных ограничений при условии предоставления покупателю возможности немедленно получить приобретаемый товар прямо в магазине и при наличии достаточных запасов этого товара на складе фирмы-продавца.
ПРЕМИИ (компенсации). Осуществляются в форме наличных выплат конечному потребителю, купившему товар в розничной торговле, фирмой — производителем товара. Особенно часто выплата премий практикуется в США. Производитель товара привлекает на свою сторону покупателей тем, что обещает им некоторую денежную компенсацию, если они в течение строго определенного времени после покупки товара вышлют на фирму купон или заявку. С помощью таких премий производитель ускоряет реализацию товара, быстрее освобождает складские помещения, не снижая при этом цен, указанных в каталоге. Этим методом пользуются, например, американские производители некоторых марок автомобилей и других потребительских товаров.
Сокращение доходов фирмы в результате выплаты премий должно оказаться меньшим, чем при прямом снижении цен, требуемом для адекватного расширения спроса. Фирма рассчитывает и на то, что не все ее клиенты сумеют или успеют вовремя отправить необходимые для получения премии бумаги. В европейской практике этот метод не нашел широкого применения. Так, в Германии он не играет большой роли потому, что премиальные скидки по закону не могут превышать 3% цены, а предложение премий нельзя ограничивать во времени.
ВЫГОДНЫЕ ПРОЦЕНТНЫЕ СТАВКИ ПРИ ПРОДАЖЕ В КРЕДИТ. Это еще одна форма стимулирования сбыта без снижения цен. Она получила особенно широкое распространение в автомобилестроении. Дело дошло до того, что некоторые фирмы — изготовители автомобилей предлагают финансирование покупки у них автомобиля путем предоставления клиенту кредита на исключительно выгодных условиях: процент за кредит на уровне всего 2% и даже временное освобождение от уплаты процента по кредиту. Все это делается с целью привлечь покупателей, однако не всегда приносит ожидаемый результат.
Во-первых, этот метод стимулирования стали использовать очень многие продавцы автомобилей, что значительно снизило его привлекательность в каждом отдельном случае. Во-вторых, в условиях насыщенного рынка покупатель имеет возможность сопоставить и сравнить все предлагаемые возможности осуществления покупок, а вариант льготного финансирования на практике оказывается не всегда наиболее выгодным для покупателя по сравнению с прямыми ценовыми льготами. К таким выводам привел, в частности, анализ выставочных продаж автомобилей в США, проведенный журналом Wall Street Journal. Оказалось, что предложение льготного финансирования вначале привлекает действительно большое число покупателей в выставочные помещения соответствующих фирм. Однако многие отказываются впоследствии от покупки, узнав и сопоставив все отдельные условия, а именно: высокую сумму первоначального взноса, необходимость погашения кредита всего за 30 месяцев, а также общую сумму платежей, которая оказывается в итоге ничуть не меньше, чем цена, заявленная в каталоге. В целом же льготные финансовые условия продаж широко применяются при реализации потребительских и промышленных товаров как форма стимулирования договорных отношений между фирмой-изготовителем и сферой торговли. По своему значению эта форма аналогична прямым ценовым льготам.
ГАРАНТИЙНЫЕ УСЛОВИЯ И ДОГОВОРА О ТЕХНИЧЕСКОМ ОБСЛУЖИВАНИИ. Эти условия могут включаться в цену фирмой-изготовителем и являются еще одним действенным средством стимулирования сбыта. Вместо того чтобы увеличивать основную отпускную цену товара на величину затрат, связанных с предоставляемыми услугами, фирма может оказывать их бесплатно (не меняя основную цену) или на льготных условиях (повышая цену незначительно). Таким путем для покупателя как бы снижается совокупная цена товара.
ПСИХОЛОГИЧЕСКАЯ МОДИФИКАЦИЯ ЦЕН. Если имеется высокая цена на какой-либо продукт в качестве образца для сравнения, то фирма может предлагать свой аналогичный товар по более низкой цене, подчеркивая эту разницу. Например, на ценнике может быть указано: «Снижение цен с 700 до 600 руб.». Однако надо иметь в виду, что в Европе для такой психологической обработки покупателей установлены законодательные пределы. Например, в Германии разрешено пользоваться этим методом только при наличии в данном магазине многих других товаров, продаваемых с такими же ценниками, т.е. если с точки зрения рекламы товар какой-то одной фирмы не особенно выделяется. Запрещено также использовать в качестве базовой несуществующую, вымышленную завышенную цену.
Общей проблемой всех методов модификации цен для стимулирования сбыта является то, что их быстро замечают и постигают конкуренты. Как только они начинают следовать такой же или аналогичной стратегии, эффективность ее для каждого предпринимателя в отдельности резко снижается. Тогда денежные потери от снижения цен или льготного обслуживания оказываются напрасными, ибо не приводят к увеличению сбыта. Поэтому каждому предпринимателю, собирающемуся воспользоваться этой стратегией, надо оценить своих конкурентов, общую рыночную ситуацию и затем уже окончательно решить, что для него предпочтительнее — применять какие-либо методы модификации цен или направить деньги на повышение качества продукции, улучшение обслуживания потребителей или рекламу для повышения имиджа фирмы.
5.4 Дифференциация цен: ценовая дискриминация
Часто фирма приспосабливает свои базовые цены к специфическим особенностям отдельных потребителей, модификациям продукта или различиям стандартов. Но о ценовой дискриминации принято говорить только в том случае, когда фирма предлагает одинаковые продукты или услуги по двум и более различным ценам.
Термин «дискриминация» происходит от латинского discriminatio, что означает различие, различение. Исходя из этого под ценовой дискриминацией понимают установление разных цен на один и тот же товар при условии, что различия в ценах не связаны с затратами.
Речь идет, таким образом, об особом методе ценообразования фирмы-продавца. Смысл дискриминационного поведения состоит в том, чтобы использовать все возможности для назначения максимальной цены на каждую продаваемую единицу товара. Это значит, что дискриминации может подвергаться как один и тот же покупатель (например, в зависимости от закупаемого количества товара), так и разные покупатели.
Мы не случайно сделали здесь акцент на отсутствие связи ценовых различий с затратами. Цены реальных сделок обычно отличаются друг от друг из-за несовпадения условий доставки, страховки, упаковки, кредита, дополнительного сервиса, комплектации или индивидуального изготовления (качества). В тех случаях, когда покупатель оплачивает особенности индивидуальных сделок, требующих соответствующих затрат, ценовые различия не являются дискриминационными. И наоборот, оплачивая то, что не требует дополнительных расходов (или требует, но не в той степени, в какой дифференцируются цены), говорят, что покупатель подвергается ценовой дискриминации.
Необходимо отметить, что ценовая дискриминация не означает нарушения законов рыночного обмена, и потому было бы неверно думать, что она характерна только для молодых, развивающихся рынков, например для российского рынка. Уже сама постановка вопроса о ценовой дискриминации предполагает достаточно высокую степень развития рыночных отношений. Разовые, случайные сделки, действительно, всегда совершались по разным ценам. Чем более развита рыночная экономика и степень ее конкуренции, тем ближе к единым, усредненным уровням цен.
Однако в рамках конкурентного рыночного пространства существуют разделяющие его факторы, служащие основой ценовой дискриминации. Поэтому можно сказать, что ценовая дискриминация возникает на основе реальных противоречий рыночного механизма. На рынке все участники разные. Но за общей зависимостью от спроса скрывается совокупность разных индивидуальных ценностных оценок потребителей при разных бюджетных возможностях. Это значит, что при единой рыночной цене всегда есть покупатели, готовые заплатить больше за то же количество товара.
Условия ценовой дискриминации. Для того чтобы реализовать ценовую дискриминацию на практике, необходимы определенные условия. Во-первых, у продавца должна быть возможность контролировать цены. Конечно, легче всего это может сделать монополист, поэтому в микроэкономической теории принято говорить о ценовой дискриминации применительно к монополисту и монопольной структуре рынка. Однако в практике ценообразования поле ценовой дискриминации гораздо шире. Она широко применяется фирмами на олигопольных рынках и даже на конкурентных и знаменует появление на них некоторых элементов рыночной власти. Впрочем, это вполне вписывается в реалии рыночной экономики, где практически почти невозможно найти примеры совершенно конкурентных рынков. При этом тенденция динамики рыночных структур такова, что постоянно возрастает возможность воздействовать на сознание потребителя и на потребительский выбор со стороны фирмы через различные инструменты маркетинговой коммуникации. Поэтому постоянно возникают все новые участки рыночной власти на конкурентных в целом рынках. Главное, чтобы конкуренты не могли продавать свой товар дешевле там, где данная фирма хотела бы продать его дороже. Власть над ценами связана и с количеством противостоящих фирме-продавцу покупателей. Если покупателей мало, так что уход любого из них с рынка заметен для продавца, то возможности ценовой дискриминации ограничены.
Во-вторых, у покупателей не должно быть возможности или желания покупать там, где продают этот товар дешевле. Ограничение покупки по более низким ценам может достигаться по-разному. Эти преграды могут носить характер регламентирования (например, специально вводимые льготы для пенсионеров) либо происходить из естественных условий (например, территориальное удаление разных мест продажи). Однако часто эти преграды носят условный характер и специально поддерживаются маркетинговыми службами фирмы-продавца (например, фактор престижности покупки в магазине дорогих товаров, скажем, в бутике).
В-третьих, издержки реализации на практике дискриминационной политики фирмы не должны превышать ее экономических выгод от этой деятельности. Для проведения ценовой дискриминации с введением множества индивидуализированных цен необходимо тщательное изучение спроса, проведение дорогостоящих маркетинговых исследований с постоянным последующим мониторингом рынка, контроль за деятельностью торговой сети и другие мероприятия, которые дорого обходятся фирме-продавцу.
В экономической теории принято различать три основные формы ценовой дискриминации3.
Ценовая дискриминация первого рода
Фирма-продавец хотела бы, конечно, назначать разную цену для каждого из своих покупателей. Это вытекает уже из самой функции спроса, описывающей разную платежеспособность покупателей и, следовательно, их разную ценовую готовность. Если мы обозначим ценовую готовность каждого покупателя, т.е. цену, которую он готов заплатить за товар, как его субъективную цену, то при наличии продажи товара по этим субъективным ценам можно было бы говорить о ценовой дискриминации первого рода, или совершенной ценовой дискриминации.
Выгодно ли это фирме? Безусловно, если не требует значительных дополнительных затрат. Прибыль продавца заметно увеличивается. Дополнительная прибыль от каждой единицы продукции равна разности предельного дохода и предельных издержек. Это можно проиллюстрировать на следующем графике (рис.3.2).
Предельный доход от первой единицы товара является самым высоким, а предельные издержки — самыми низкими. С каждой дополнительной единицей предельный доход снижается, а предельные издержки возрастают. При единой цене Р* совокупный объем производства фирмы равен Q*, где предельный доход МR равен предельным издержкам МС. Совокупная прибыль равна сумме прибылей от каждой дополнительно проданной единицы продукции, она представлена на графике площадью между кривыми предельного дохода и предельных издержек.
В ситуации совершенной ценовой дискриминации каждому покупателю назначается именно та цена, которую он готов заплатить. Следовательно, кривая предельного дохода перестает играть какую-либо роль в выборе фирмой объема производства. Теперь прирост дохода от каждой дополнительно проданной единицы продукции просто равен цене, уплаченной за эту единицу товара. Следовательно, он определяется кривой спроса.
Ценовая дискриминация не влияет, однако, на структуру издержек фирмы. Издержки производства представлены, как и прежде, кривой предельных издержек.
Прибыль от производства и сбыта каждой дополнительной единицы продукции равна разнице между ее ценой, определяемой спросом, и предельными издержками.
До тех пор, пока цена превышает предельные издержки, фирма расширяет производство, вплоть до объема Qс. Совокупная прибыль теперь соответствует площади между кривыми спроса и предельных издержек. Она значительно увеличилась. Весь излишек потребителя присваивается фирмой-продавцом. Дополнительная прибыль от совершенной ценовой дискриминации — это площадь А, В, Рmax.
Надо отметить, что на практике совершенная ценовая дискриминация почти не осуществима. Во-первых, практически невозможно назначить для каждого покупателя его собственную цену (если только рынок не ограничивается несколькими покупателями). Во-вторых, фирма обычно не знает точно субъективной цены каждого покупателя. Данные маркетинговых опросов дают лишь приблизительный и, как правило, заниженный ориентир.
Однако фирмы могут проводить на практике несовершенную ценовую дискриминацию, назначая несколько различных цен на свой товар. Такой пример нам дают торги между покупателем и продавцом, когда от одной стартовой цены продавец опускает планку каждый раз по-разному, в зависимости от торга. Индивидуальные скидки при продажах дорогих товаров, индивидуальные льготы студентам по оплате за обучение — это также примеры того же рода дискриминации. Таким образом, возникает не множество, а некий ограниченный ряд продажных цен. Однако принцип получения прибыли продавцом остается прежним.


Ценовая дискриминация второго рода.Этот вид ценовой дискриминации связан с назначением разных цен за различное количество одних и тех же товаров и услуг. Для некоторых рынков характерно применение разных цен в зависимости от объемов покупок. Так, оплачивая коммунальные услуги по государственным тарифам за электроэнергию, мы платим меньший тариф, если используем электроэнергию не только для освещения, но и для приготовления пищи на электроплитах. Естественно, что готовность потребителя платить за товар или услугу снижается по мере роста потребления. Это противоречие преодолевает ценовая дифференциация второго рода, изначально предписывающая платить по-разному потребителям с разными объемами потребления.
Итак, фирма осуществляет ценовую дискриминацию в зависимости от потребляемого количества. Это и есть ценовая дискриминация второго рода. В этом случае расширение сбыта и, соответственно, производства позволяет фирме экономить издержки за счет эффекта масштаба. Уменьшаются издержки на производство единицы продукции или услуги и растет прибыль, несмотря на снижение цен. Эта ценовая дискриминация иллюстрируется на рис. 3.3.
Как видно из графика, цены различаются в зависимости от объемов потребления, т.е. блоков покупки одного и того же товара. За приобретение каждого блока назначается своя цена. Поскольку увеличение сбыта сопровождается экономией от масштаба, то растут прибыли, а предельные и средние издержки снижаются.
Ценовая дискриминация третьего рода.Ценовая дискриминация третьего рода — это ценообразование на сегментированных рынках. Она означает установление разных цен для разных категорий покупателей. Если дискриминация первого рода встречается весьма редко, а ценовая дискриминация второго рода в целом подпадает под категорию оптовых скидок, имеющих более широкое, но все же ограниченное применение, то основанная на сегментировании дискриминация — это «альфа и омега» современного ценообразования в системе маркетинга фирмы.
При ценообразовании по сегментам необходимо выделить и достаточно четко отграничить друг от друга различные категории покупателей (рыночные сегменты). При ценообразовании по сегментам фирма максимизирует прибыль, выбирая наилучшее сочетание цен и объемов продаж в каждом из сегментов, отличающихся один от другого не только емкостью, но и платежеспособностью, а исходя из этого - эластичностью спроса.

Ценовую дискриминацию третьего рода также можно представить схематически на графике. Предположим для простоты, что фирма-продавец разделила своих потребителей на два сегмента, т.е. на две группы, для каждой из которых характерна своя платежеспособность, потребительские предпочтения и потому - своя кривая спроса (рис. 3.4).
Как видно из данного графика, оптимальные цены и объемы продаж таковы, что предельные доходы от продажи товара разным группам потребителей равны и совпадают с предельными издержками. В данном примере потребители первой группы, спрос которых представлен кривой D1, платят цену Р1, а потребители второй группы, спрос которых более эластичен и представлен кривой D2, платят цену Р2.
Предельные издержки зависят от совокупного объема производства QT. Отметим, что объемы производства Q1 и Q2 по сегментам выбраны так, чтобы предельные доходы от реализации продукции в этих сегментах совпадали с предельными издержками МС, что необходимо для оптимизации выпуска (если продукты выпускаются на одном предприятии в одном производственном процессе):
MR1 = МR2 = МС.
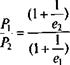
Поскольку категория цены прямо соотносится с категорией эластичности спроса, а в данном случае сегментирование как раз и производится в связи с разной эластичностью, то уместно выразить также и предельный доход через категорию эластичности. Как известно из теории микроэкономики, предельный доход МR зависит от эластичности спроса ed следующим образом:
MR = P · (1+ 1/ ed)
Тогда при сегментированных рынках получаем два выражения предельного дохода:

Где е1 и е2 — эластичности спроса на продукцию фирмы в первом и втором сегментах. Теперь, уравнивая предельный доход MR1 и MR2 , получаем следующее правило соотношения цен:

Ценовая дискриминация проявляется на практике в различных формах.
МОДИФИКАЦИЯ ЦЕН В ЗАВИСИМОСТИ ОТ ПОТРЕБИТЕЛЬСКОГО СЕГМЕНТА. Фирма предлагает один и тот же товар для разных слоев потребителей по различным ценам. Характерный пример — льготные входные билеты в музеи для студентов и пенсионеров и аналогичные льготные тарифы. К этой же категории можно отнести и межстрановые различия уровней цен на одинаковые товары.
МОДИФИКАЦИЯ ЦЕН В ЗАВИСИМОСТИ ОТ ФОРМЫ ПРОДУКТА И ЕГО ПРИМЕНЕНИЯ. В этом случае небольшие различия в формах изготовления и использования продукта сопровождаются дифференциацией цен, хотя издержки производства при этом почти не изменяются. Например, новый автомобиль, покрытый краской «Меtаllic», стоит дороже такого же точно автомобиля с обычным лакокрасочным покрытием. Еще один пример: минеральная вода «Еvian», реализуемая на европейских рынках, стоит 1 евро, если она продается как напиток в бутылке 0,25 л, и уже 10 евро, если она предлагается как увлажняющая жидкость для лица в элегантной маленькой упаковке. К ценовой дискриминации прибегает даже европейская почта. Так, обычный лист формата А-4, отсылаемый в конверте с печатным текстом как служебное письмо, стоит значительно дешевле, чем личное письмо точно такого же формата. В этом случае ценовая дифференциация обосновывается не различием издержек или продуктов, а использованием одного и того же вида работ почтовых служб для различных целей.
МОДИФИКАЦИЯ ЦЕН В ЗАВИСИМОСТИ ОТ ИМИДЖА ТОВАРА. Некоторые фирмы устанавливают на один и тот же продукт две различные цены, основываясь на различиях имиджа. Так, фирма — изготовитель парфюмерной продукции может предлагать на европейском рынке один и тот же продукт с разными наименованиями и упаковкой, дифференцируя цены в зависимости от имиджа применяемой марки продукта. Или изготовитель лимонада может заменить в своем напитке сахар на сахарин и продавать его по более высокой цене как диетический напиток с пониженным содержанием калорий.
ДИФФЕРЕНЦИАЦИЯ ЦЕН В ЗАВИСИМОСТИ ОТ МЕСТОПОЛОЖЕНИЯ ТОВАРА. Применяется независимо от величины фактических издержек, основываясь только на различиях в местоположении товара. Так, театр варьирует цены на входные билеты в зависимости от предпочтений публики относительно расположения посадочных мест. Аналогично действует строительная фирма, покупая большой участок под строительство жилья. Отдельные места на этом участке будут предлагаться по различным ценам, хотя затраты на строительство будут везде одинаковы.
МОДИФИКАЦИЯ ЦЕН В ЗАВИСИМОСТИ ОТ ВРЕМЕНИ. Фирма дифференцирует порой цены в зависимости от времени года, дня или даже по часам. Так, европейские телефонные тарифы изменяются в зависимости от времени дня, а в выходные действует не такой тариф, как в рабочие дни недели.
Для того чтобы успешно использовались методы ценовой дискриминации, необходимо наличие определенных условий:
1. Совокупный рынок должен подразделяться на отдельные сегменты, в которых спрос имеет различную интенсивность.
2. Покупатели в тех сегментах, где платят более низкие цены за товар, должны быть лишены возможности перепродавать этот товар в рыночном сегменте с высокими ценами (этот аспект получает особо актуальное звучание в связи с современным развитием общеевропейского рынка и опасностью развития так называемых «серых» рынков).
3. Должна отсутствовать опасность проникновения конкурентов на данный ценовой рыночный сегмент.
4. Издержки фирмы по сегментированию и контролю за рынком не должны превышать дополнительных доходов от ценовой дискриминации.
5. Ценовая дискриминация должна проводиться настолько аккуратно и незаметно, чтобы не вызывать раздражения и недовольства у клиентов фирмы.
6. Избранная форма ценовой модификации не должна входить в противоречие с законом (о защите прав потребителей, о монополиях и т.д.).
5.5 Дифференциация цен: ступени цен
Обычно фирма разрабатывает и производит не отдельные продукты, а целые продуктовые линии. Например, фирма, успешно работающая на рынке бытовой электроники, предлагает, как правило, не одну, а несколько моделей видеокамер с разными эксплуатационными характеристиками и, соответственно, ценами. Каждая более сложная модель этой продуктовой линии получает и более высокую цену, что обосновывается как сложностью ее изготовления, так и дополнительным оборудованием. Основная проблема заключается в том, чтобы определить, какие именно ценовые ступени следует ввести по каждой отдельной модификации продукции. При этом помимо различия в издержках необходимо учесть:
• цены на продукцию конкурентов;
• покупательную способность данного рыночного сегмента;
• ценовую эластичность спроса.
Если разница между двумя ценовыми ступенями окажется слишком маленькой, то клиенты предпочтут покупать более сложную модель видеокамеры. Но такой потребительский выбор принесет дополнительную прибыль фирме-изготовителю только в том случае, если разница в издержках на изготовление каждой модели меньше, чем разница в ценах на них. Если же различие между уровнями отдельных ценовых ступеней, напротив, слишком велико, то выбор потребителя будет склоняться к более дешевым и простым моделям, что может принести убытки фирме и вызвать сложности с реализацией продукции. С такими затруднениями столкнулась, например, в прошлом известная немецкая автомобильная фирма Volkswagen при реализации своих моделей Ро1о, Golf, Passat и их модификаций.
Во многих отраслях европейской, да и мировой экономики фирмы-производители предлагают свою продукцию в широком ассортименте, ориентируя ее цены на существующие различные классы цен и продавая продукцию по средним рыночным ценам соответствующего ценового класса. Задача фирмы-изготовителя заключается при этом также в создании таких ступеней качества, которые бы воспринимались потребителем как оправдание использования различных ступеней цен.
СТУПЕНИ ЦЕНЫ ПРИ ОСОБОМ ОБОРУДОВАНИИ. Многие фирмы предлагают наряду с основным продуктом дополнительное оборудование к нему. Так, покупатель автомобиля может заказать себе машины, дополнительно укомплектованные электрическими стеклоподъемниками, радио- и аудиоаппаратурой и т.д. Предложение дополнительного оборудования повышает имидж фирмы и степень доверия к ней со стороны покупателя. Здесь важно правильно решить, что из оборудования должно устанавливаться на серийном варианте продукции и включаться в ее базовую цену, а что — предлагаться дополнительно и по особой цене. Например, концерн Volkswagen проводит на немецком рынке политику предложения «голой» базовой версии по низким ценам и особого оборудования по высоким ценам. Вследствие такой ценовой политики у покупателей создается первое впечатление, что автомобиль этой марки можно купить недорого. Но, занимаясь вопросом о покупке машины вплотную, многие покупатели обнаруживают, что эта дешевая базовая модель содержит так мало необходимых удобств и оборудования, что в таком виде они ее не хотели бы покупать. Начиная добавлять к базовой цене стоимость дополнительного оборудования, которое желательно иметь в современном автомобиле, покупатели быстро убеждаются, что полностью оборудованная базовая модель других фирм стоит дешевле. И тогда наступает обратный эффект: покупателям начинает казаться, что завышена цена не только на дополнительное оборудование, но и на базовую модель.
Чтобы не потерять имидж недорогого автомобиля в результате такой неудачной ценовой политики, фирма начала в 1989 г. новую маркетинговую кампанию под девизом «Больше "Фольксвагена" за одну марку». Новая политика заключалась в том, что в базовую версию многих своих моделей фирма включила дополнительные элементы оборудования, предлагавшиеся ранее за отдельную плату, но оставила базовую цену без изменения. Таким образом, практика показывает, что провести обоснованную с позиций потребителя политику ценовых ступеней бывает весьма трудно, особенно тогда, когда существует множество покупателей с разными предпочтениями. Кстати, заметим по поводу приведенного примера, что концерн Volkswagen уже давно отказался от создания имиджа дешевого автомобиля с ценовыми ступенями, предпочтя «разделить» имидж дорогих и относительно дешевых товаров между двумя разными товарными марками, принадлежащими компании, — собственно «Фольксваген» (дорогая продукция) и «Шкода» (ценовые преимущества).
Проблема доверия к фирме возникает и тогда, когда покупатели замечают странное несоответствие в ценах на продукцию одной и той же фирмы. Так, тот же концерн Volkswagen установил на одинаковые противотуманные фары к своим моделям 1990 г. совершенно разные цены: для модели Раssat — 382 марок, а для моделей Jetta, Sirocco и Со1f— 245 марок. Необоснованным кажется покупателям и то, что воздушный фильтр для моделей Golf и Jetta продавался вместе с автомобилем за 140 марок, а при дополнительном оборудовании — за 48,45 марок. В данном случае применение ценовых ступеней стало испытанием на прочность степени доверия потребителей к фирме и показало, как покупатели оценивают справедливость и выгодность цен по малейшим нюансам ценовой политики.
И все же, несмотря на опасность, которую таят в себе ценовые ступени, они помогают компании проникнуть на желаемый сегмент рынка и закрепиться на нем. Если фирма предлагает «голую» базовую модель по низким ценам, то она привлекает к себе широкий круг потенциальных клиентов среднего достатка, но одновременно теряет сегмент тех потребителей, которые готовы платить большие суммы за хорошо оборудованные автомобили. Чтобы исправить положение и вернуть себе рынок потребителей с высоким достатком, фирма может вводить льготные ценовые ступени и по отдельным пакетам дополнительного оборудования.
К аналогичным ценовым решениям прибегают зачастую и владельцы ресторанов. Не секрет, что многие посетители ресторанов заказывают дополнительно к еде какие-либо напитки. С учетом этого владелец ресторана предлагает в меню алкогольные напитки по высоким ценам. Всегда существует дилемма: предлагать меню по высоким ценам, чтобы больше заработать, или по низким ценам, чтобы привлечь больше посетителей? Во многих случаях эту дилемму владельцы ресторанов решают таким образом, что предлагают относительно дешевую еду и дорогие алкогольные напитки. Часто доходы от приготовления пищи лишь покрывают издержки, а прибыль достигается от продажи разнообразных алкогольных и безалкогольных напитков. Это, кстати, объясняет, почему официанты так часто подходят к посетителям, заказывающим напитки, и оперативно обслуживают их.
СТУПЕНИ ЦЕН НА НЕОБХОДИМЫЕ ПРОДУКТЫ В ФУНКЦИОНАЛЬНЫХ СИСТЕМАХ. В ряде отраслей необходимо постоянное производство дополняющих или обслуживающих изделий к функциональным системам. Эти изделия не могут применяться самостоятельно, но дают возможность использования основного продукта. Такими изделиями являются, например, лезвия для бритвы, пленки для фотоаппарата, кассеты для видеоаппаратуры, дискеты и лазерные диски для компьютера. Фирмы — изготовители основного продукта (бритвы, камеры и т.д.) могут продавать его по более низкой цене, компенсируя ее надбавками за поставку дополняющих изделий. Так, например, поступает фирма «Кодак». Фирмы, не производящие дополняющие изделия, не могут воспользоваться этим методом. Они должны продавать свою основную продукцию дороже, что ухудшает их конкурентные позиции.
ВКЛЮЧЕНИЕ В ЦЕНУ СОПУТСТВУЮЩИХ ПРОДУКТОВ И ПРЕДЛОЖЕНИЕ ПАКЕТА ТОВАРОВ. В некоторых производствах, например в нефтеперерабатывающей или пищевой промышленности, постоянно используется некий набор продуктов, скажем, химических ингредиентов. Фирмы-поставщики могут включать стоимость их поставки в цену основного продукта, делая его более выгодным для потребителя. Точно так же производитель автомобилей может продавать запчасти или дополнительное оборудование целыми пакетами, где каждая часть обходится покупателю дешевле, чем если бы она покупалась отдельно. Такие скидки или ценовые ступени не носят массового характера, ибо не все потребители готовы покупать продукцию комплектами. Но и эти методы вносят свой вклад в копилку ценовых модификаций, планируемых фирмой для укрепления своих позиций на рынке и увеличения суммарных доходов от продаж. Рассмотрим их более подробно.
При использовании метода пакетного ценообразования объединяются несколько товаров или услуг и продаются по суммарной цене. Например, по продаже вин можно предложить клиентам набор из двух марок вин по суммарной цене или одну марку вина, а к ней справочник по винам. Метод основан на предложении клиентам нескольких товаров, обладающих более высокой стоимостью, по цене более низкой, чем сумма цен этих товаров.
Пакетное ценообразование обычно используется предприятиями при выпуске новых товаров, продаже подарков и в дни праздничной торговли. Например, производитель кожаных изделий может предложить клиентам комплект из кожаного портфеля, кожаной обложки для блокнота и бумажника по цене ниже, чем если бы клиент покупал каждый из этих товаров по отдельности.
Целью пакетного ценообразования является увеличение объема продаж. При пакетном ценообразовании суммарная стоимость, к примеру, трех предметов (портфель — 50 долл., обложка— 10 долл., бумажник — 20 долл.) будет составлять 80 долл. Однако вы продаете комплект из этих трех предметов по цене 70 долл. Для покупателя это выгодно. А для вас? Давайте посчитаем. При условии увеличения объемов продаж за счет комплексного применения обоих методов продавец получает дополнительную выручку (в нашем примере 400 — 260 =130 долл.) за счет продажи двух дополнительных комплектов наряду с раздельной продажей.
1 вариант. Вы продаете товары отдельно
| Товар | Цена, долл. | Количество | Сумма, долл. |
| Портфель Обложка Бумажник Итого |
2 вариант. Вы продаете только комплект.
| Товар | Цена, долл. | Количество | Сумма, долл. |
| Комплект |
3 вариант. Вы продаете товары и отдельно, и комплекты.
| Товар | Цена, долл. | Количество | Сумма, долл. |
| Портфель Обложка | |||
| Бумажник Комплект | |||
| Итого |
Дата добавления: 2015-07-18; просмотров: 2033;
