Распад глюкозы
Распад глюкозы возможен двумя путями. Один из них заключается в распаде шестиуглеродной молекулы глюкозы на две трехуглеродные молекулы. Этот путь называется дихотомическим распадом глюкозы. При реализации второго пути происходит потеря молекулой глюкозы одного атома углерода, что приводит к образованию пентозы; этот путь носит название апотомическо-го распада.
Дихотомический распад глюкозыможет происходить как в анаэробных (без присутствия кислорода), так и в аэробных (в присутствии кислорода) условиях. При распаде глюкозы в анаэробных условиях в результате процесса молочнокислого брожения образуется молочная кислота. Иначе этот процесс называется гликолизом(от греч. glicos - сладкий, lysis - растворение).
Отдельные реакции гликолиза катализируют 11 ферментов, образующих цепь, в которой продукт реакции, ускоряемой предшествующим ферментом, является субстратом для последующего. Гликолиз условно можно разбить на два этапа. В первом этапе происходит затрата энергии, второй этап, наоборот, характеризуется накоплением энергии в виде молекул АТФ (схема 1).
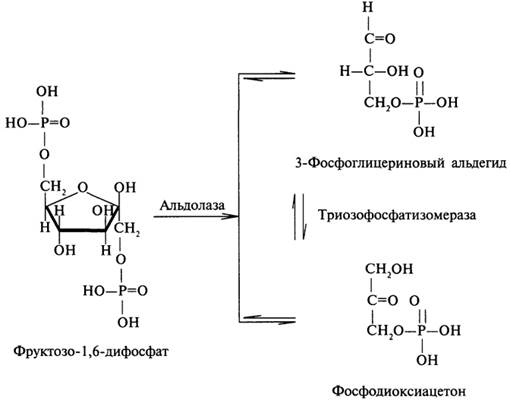
Первой реакцией гликолиза является фосфорилирование глюкозы с образованием глюкозо-6-фосфата. Глюкозо-6-фосфат далее изомеризуется во фруктозо-6-фосфат, который фосфорилируется до фруктозе-1,6-дифосфата. Следующей реакцией является лиазное расщепление фруктозо-1,6-дифосфата до двух триоз-3-фосфоглицеринового альдегида и фосфодиоксиацетона. Образованием этих триоз заканчивается первый этап гликолиза:


Во второй этап гликолиза вступают 2 молекулы 2-фосфоглицеринового альдегида, одна из которых образуется непосредственно при расщеплении фруктозо-1,6-дифосфата, а другая при изомеризации фосфодиоксиацетона.
Второй этап гликолиза открывается реакцией окисления 3-фосфоглицеринового альдегида, катализируемой специфической дегидрогеназой, содержащей в активном центре свободную сульфгидрильную (HS-) группу и кофермент НАД. В результате образуется 1,3-дифосфоглицериновая кислота. Далее происходит перенос фосфатной группы на молекулу АДФ; таким образом происходит запасание энергии в макроэргических связях молекулы АТФ. Поскольку в гликолизе образуются 2 молекулы 1,3-дифосфоглицериновой кислоты, то и возникают 2 молекулы АТФ. Изомеризация предыдущего метаболита в 2-фосфоглицериновую кислоту необходима для протекания реакции дегидратации, ускоряемой соответствующей лиазой, с образованием макроэргического соединения - фосфоенолпировиноградной кислоты, которая далее отдает фосфатную группу на молекулу АДФ. В результате образуется по 2 молекулы АТФ и пировиноградной кислоты (ПВК). Заключительной реакцией этого метаболического пути является молочная кислота, которая образуется при восстановлении пировиноградной кислоты:


Схема 1. Гликолиз
Бо́льшая часть молочной кислоты, образующейся в мышце, вымывается в кровяное русло. Изменению рН крови препятствует бикарбонатная буферная система: у спортсменов буферная емкость крови повышена по сравнению с нетренированными людьми, поэтому они могут переносить более высокое содержание молочной кислоты. Далее молочная кислота транспортируется к печени и почкам, где она почти полностью перерабатывается в глюкозу и гликоген. Незначительная часть молочной кислоты вновь превращается в пировиноградную кислоту, которая в аэробных условиях окисляется до конечных продуктов обмена.
Аэробный обмен ПВК.В аэробных условиях пировиноградная кислота окисляется; этот процесс называется окислительным декарбоксилированиемпировиноградной кислоты. Катализирует этот процесс мультиэнзимный комплекс, который называется пируватдегидрогеназным комплексом. В состав этого комплекса входят три фермента и пять коферментов.
Первый этап аэробного превращения ПВК заключается в ее декарбоксилировании, катализируемом пируватдекарбоксилазой (E1), коферментом которой является тиаминпирофосфат. В результате образуется оксиэтильный радикал, ковалентно связанный с коферментом.
Фермент, ускоряющий второй этап окислительного декарбоксилирования ПВК, - липоат-ацетилтрансфераза содержит в своем составе два кофермента: липоевую кислоту и коэнзим A (KoASH). Происходит окисление оксиэтильного радикала в ацетильный, который сначала акцептируется липоевой кислотой, а затем переносится на KoASH. Результатом второго этапа является образование ацетил-КоА и дегидролипоевой кислоты:

Заключительную стадию окислительного декарбоксилирования ПВК катализирует дигидролипоилдегидрогеназа, коферментом которой является ФАД. Кофермент отщепляет два атома водорода от дигидролипоевой кислоты, тем самым воссоздавая первоначальную структуру данного кофермента:

Конечным акцептором атомов водорода является НАД:
ФАД · 2Н + НАД+ → ФАД + НАДН + Н+
Суммарная схема процесса может быть представлена в виде:

Ацетил-КоА представляет собой соединение с макроэргической связью, иначе его можно назвать активной формой уксусной кислоты. Освобождение коэнзима А от ацетильного радикала происходит при включении его в амфиболический цикл, который называется циклом ди- и трикарбоновых кислот.
Цикл ди- и трикарбоновых кислот.Этот амфиболический цикл называют циклом Кребсав честь Г. Кребса (лауреата Нобелевской премии 1953 г.), определившего последовательность реакций в этом цикле.
В результате функционирования цикла Кребса происходит полный аэробный распад ацетильного радикала до углекислого газа и воды (схема 2). Цикл Кребса можно рассматривать как путь углеводного обмена, однако его роль в метаболизме гораздо шире. Во-первых, он выступает в роли центрального метаболического пути углерода, входящего в состав всех основных классов биологических молекул, во-вторых, совместно с процессом окислительного фосфорилирования обеспечивает основной источник метаболической энергии в форме АТФ.
Ферменты цикла ди- и трикарбоновых кислот, ускоряющие единый многоступенчатый процесс, локализованы во внутренней мембране митохондрий.

Схема 2. Цикл Кребса
Рассмотрим конкретные реакции цикла Кребса.
Превращения ацетил-КоА начинаются с реакции конденсации его со щавелевоуксусной кислотой, в результате которой образуется лимонная кислота. Эта реакция не требует расхода АТФ, так как необходимая для этого процесса энергия обеспечивается гидролизом тиоэфирной связи с ацетил-КоА, которая, как мы уже отмечали, является макроэргической:

Далее происходит изомеризация лимонной кислоты в изолимонную. Фермент данного превращения - аконитаза - сначала дегидратирует лимонную кислоту с образованием цис-аконитовой кислоты, затем присоединяет воду к двойной связи полученного метаболита, образуя изолимонную кислоту:

Изолимонная кислота подвергается окислению при участии специфической дегидрогеназы, коферментом которой является НАД. Одновременно с окислением происходит декарбоксилирование изолимонной кислоты. В результате этих превращений образуется α-кетоглутаровая кислота.

Следующей стадией является окислительное декарбоксилирование α-кетоглутаровой кислоты. Катализируется этот процесс α-кетоглутаратдегидрогеназным комплексом, который аналогичен по структуре и механизму действия пируватдегидрогеназному комплексу. В результате этого процесса образуется сукцинил-КоА:

Сукцинил-КоА далее гидролизуется до свободной янтарной кислоты, а выделяющаяся при этом энергия сохраняется путем образования гуанозинтрифосфата (ГТФ). Эта стадия - единственная во всем цикле, в ходе которой прямо выделяется энергия метаболизма:

Дегидрирование янтарной кислоты ускоряет сукцинатдегидрогеназа, коферментом которой является ФАД. Фумаровая кислота, образовавшаяся при дегидрировании янтарной кислоты, гидратируется с образованием яблочной кислоты; заключительным процессом цикла Кребса является дегидрирование яблочной кислоты, катализируемое малатдегидрогеназой; результатом этой стадии является метаболит, с которого и начался цикл ди- и трикарбоновых кислот - щавелевоуксусная кислота:

Апотомический распад глюкозыиначе называется пентозофосфатным циклом.В результате протекания этого пути из 6 молекул глюкозо-6-фосфата распадается одна. Апотомический распад можно разделить на две фазы: окислительную и анаэробную. Рассмотрим отдельные реакции этого метаболического пути.
Окислительная фаза апотомического распада глюкозы. Как и в гликолизе первой стадией является фосфорилирование глюкозы с образованием глюкозо-6-фосфата. Далее глюкозо-6-фосфат дегидрируется с участием глюкозо-6-фосфатдегидрогеназы, коферментом которой служит НАДФ. Образующийся 6-фосфоглюконолактон спонтанно или с участием лактоназы гидролизуется с образованием 6-фосфоглюконовой кислоты. Заключительным процессом окислительной ветви пентозофосфатного цикла является окисление 6-фосфоглюконовой кислоты соответствующей дегидрогеназой. Одновременно с процессом дегидрирования происходит декарбоксилирование 6-фосфоглюконовой кислоты. С потерей одного углеродного атома глюкоза превращается в пентозу:

Анаэробная фаза анатомического распада глюкозы. Рибулозо-5-фосфат, образовавшийся в окислительной фазе, может обратимо изомеризоваться в другие пентозофосфаты: ксилулозо-5-фосфат и рибозо-5-фосфат. Катализируют эти реакции два разных фермента, относящиеся к классу изомераз: пентозофосфат изомераза и пентозофосфат эпимераза. Образование из рибулозо-5-фосфата двух других пентозофосфатов необходимо для осуществления последующих реакций пентозофосфатного цикла, причем требуется две молекулы ксилулозо-5-фосфата и одна молекула рибозо-5-фосфата.

Далее идут реакции с участием ферментов трансфераз, переносящих молекулярные остатки - трансальдолазы и транскетолазы. Укажем, какие молекулярные остатки переносят эти ферменты.
Транскетолаза переносит двухуглеродный фрагмент от 2-кетосахара на первый углеродный атом альдозы. Трансальдолаза переносит трехуглеродный фрагмент от 2-кетосахара на первый атом углерода альдозы. В качестве 2-кетосахара используется ксилулозо-5-фосфат и метаболиты, полученные при ее участии.
Рассмотрим некоторые реакции, катализируемые транскетолазой и трансальдолазой.


Фруктозо-6-фосфат и 3-фосфоглицериновый альдегид включаются в гликолиз. Оба пути обмена углеводов тесно связаны (схема 3).
Схема 3. Взаимосвязь гликолиза и пентозофосфатного цикла
Распад глюкозы по апотомическому пути в большей степени наблюдается в жировой ткани, печени, ткани молочной железы, надпочечниках, половых железах, костном мозге, лимфоидной ткани. Низкая активность отмечается в мышечной ткани (сердечной и скелетной мышце).
Биологическое назначение пентозофосфатного цикла связано с образованием восстановленной формы НАДФ и рибозо-5-фос-фата, которые используются в процессах биосинтеза разнообразных биологических молекул. Кроме того, апотомический распад глюкозы выполняет энергетическую функцию, так как некоторые из его продуктов, прежде всего 3-фосфоглицериновый альдегид, подключаются к гликолизу.
Дата добавления: 2015-03-14; просмотров: 9749;
